
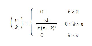
해당 수식을 계산하기 위해 팩토리얼을 함수로 구현했다.
팩토리얼만 구현하면 어렵지 않게 풀 수 있는 문제이다.
#include <iostream>
using namespace std;
int Factorial(int num)
{
int result = 1;
for (int i = num; i >0; i--)
{
result *= num;
num--;
}
return result;
}
int main()
{
int N, K;
cin >> N >> K;
int ans = Factorial(N) / (Factorial(K) * Factorial(N - K));
cout << ans;
}
'C++ > 백준 코딩테스트 풀이 C++' 카테고리의 다른 글
| C++ 2869 달팽이는 올라가고 싶다 (0) | 2022.07.02 |
|---|---|
| C++ 2798 블랙잭 (0) | 2022.07.01 |
| C++ 10773 제로 (0) | 2022.06.28 |
| C++ 1085 직사각형에서 탈출 / 제곱 / 제곱근 / 최소값 (0) | 2022.06.27 |
| C++ 3052 나머지 (0) | 2022.06.27 |